Loteria online
Loteria to zorganizowany hazard z wykorzystaniem pieniędzy lub przedmiotów. Jasne zasady są podstawą udanej loterii. Historia loterii sięga wieków wstecz, dlatego jest ona tak popularna na całym świecie.
Chociaż pierwsze loterie różnią się od współczesnych, pytania i nadzieje graczy pozostają takie same. Jak grać w loterię, jak wygrać w loterii, to podstawowe pytania, które prowadzą gracza.
TOP pytania o Loterie online
Czy gra na loterii online jest bezpieczna?
✔️ Tak, możesz być pewien bezpieczeństwa loterii, jeśli grasz za pośrednictwem naszych linków. Zawsze możesz sprawdzić swój bilet i zobaczyć wyniki loterii, które miały miejsce.
Którą loterię online wybrać?
Najpopularniejszą loterią jest Power Ball, dlatego zalecamy wypróbowanie jej w pierwszej kolejności. Ta loteria ma również największą pulę nagród.
Jakie są szanse na wygraną na loterii?
Szanse na wygranie głównej nagrody są bardzo małe i zazwyczaj zależą od liczby zakupionych biletów lub liczby lucky kul wybranych.
Ile kosztuje gra na loterii?
Granie w dużych loteriach nie jest najtańsze. Zazwyczaj trzeba wydać co najmniej 10 euro, aby kupić bilet.
Czy musisz być w USA, aby zagrać na Powerball?
Nie, losy na loterię można kupić gdziekolwiek jesteś. Jeśli wygrałbyś bardzo dużą nagrodę, musiałbyś pojechać do USA, aby ją odebrać.
Jaka jest największa wygrana na loterii, jaką kiedykolwiek wygrałeś?
W styczniu 2021 r. w loterii Powerball przyznano nagrody pieniężne o łącznej wartości 1,59 mld USD.
Czy wygrane na loterii są opodatkowane?
To zależy od wielkości wygranej nagrody oraz przepisów prawa kraju prowadzącego loterię. Zazwyczaj, jeśli wygrasz dużą pulę nagród, część pieniędzy trafia do państwa.
Spis treści
Jak wygrać w loterii – Strategie i zasady
Czy można wygrać w loterii i jak to zrobić, jeśli to możliwe? W którą loterię grać? Które loterie mają największe szanse na wygraną główną nagrodę? Jak grać w Eurojackpot, jak grać w Vikinglotto i inne popularne loterie takie jak Mega Millions, Powerball czy El Gordo?
Czy istnieje możliwość grania w loterię online za darmo? Na te i inne pytania odpowiemy tutaj i teraz.
Po pierwsze, jak wygrywane są główne nagrody w loteriach? To nie jest tajemnica. Wszystkie największe wygrane są ogłaszane przez media. Dlatego znajdziesz wiele wywiadów na ten temat.
Nie musisz być naukowcem ani osobą, która ukończyła szkołę z najwyższymi ocenami. Wystarczy, że będziesz miał szczęście i determinację oraz intencję gry w loterię. Również kup bilet. W przeciwnym razie nie masz szans na wygraną.
Oczywiście, największe wygrane były zdobywane w takich loteriach jak US Powerball, US Mega Millions, EuroMillions, Eurojackpot, El Gordo i La Primitiva.
Jakie są szanse na wygraną w loterii?
Nie możemy dać rekomendacji, w którą loterię grać. Jednak zalecamy samodzielne ocenienie, jakie są szanse na wygraną. Nie potrzeba do tego dużych umiejętności.
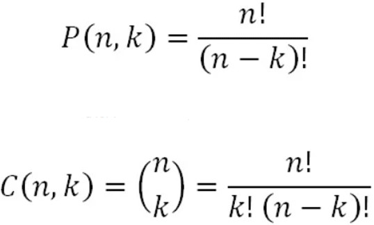
Korzystając z prostej formuły matematycznej, natychmiast zobaczysz szanse na wygraną w loterii. Oczywiście, zrozum, że im większe szanse na wygraną, tym mniejsza będzie maksymalna nagroda. Dlatego musisz poważnie rozważyć, w którą loterię grać.
Wracając do formuły, jak obliczyć szanse na wygraną w loterii. Najczęściej szanse w loteriach oblicza się za pomocą formuł kombinacji (Combinations – ang.) oraz permutacji (Permutation – ang.) formuły. Najczęściej jednak używamy formuły kombinacji, która oblicza szanse na wygraną w loterii, gdy kolejność kul nie ma znaczenia. Ważna jest ogólna liczba kul.

Najłatwiejszy sposób obliczenia – korzystanie z narzędzia Excel. Po prostu użyj formuły „=COMBIN(k,n)”. Wprowadź liczbę szczęśliwych liczb w wybranej loterii „n” oraz całkowitą liczbę kul biorących udział w grze „k”. Natychmiast otrzymasz pożądany wynik.
Aby uzyskać wyrażenie procentowe, podziel otrzymany wynik przez jeden i to będzie twoja szansa na wygraną w loterii w wyrażeniu procentowym. W ten sposób możesz szybko obliczyć szanse na wygraną we wszystkich loteriach.
Strategia – Jak wygrać w loterii?
Po ocenie szans na wygraną może się wydawać, że wygrana w loterii jest niemożliwa, a dokładniej, że szanse są bardzo małe. Prawdę mówiąc – tak, szanse na wygraną są małe. Niemniej jednak istnieje kilka sposobów na zwiększenie swoich szans na wygraną oraz kilka rzeczy, których należy unikać.
Najprawdopodobniej wszyscy zgodzicie się, że gracz, który gra regularnie ma znacznie większe szanse na wygraną. Jeśli już zdecydowałeś, że będziesz grać w loterii i dążyć do wygranej, proponujemy przestrzegać następujących kroków:
Po pierwsze – graj regularnie. Nie przegap żadnego losowania.
Po drugie – graj więcej niż jednym biletem. Miej co najmniej 5 biletów w grze.
Po trzecie – wybierz liczby, które uważasz za szczęśliwe i nigdy ich nie zmieniaj.
Po czwarte – zawsze realistycznie oceniaj swoje możliwości budżetowe.
Czego nie robić, aby wygrać?
Nie wybieraj kolejnych liczb. To na pewno nie pomoże wygrać w loterii. Nie wybieraj liczb na podstawie daty urodzenia. W ten sposób zmniejszasz zakres liczb do 31.
Kiedy wybierasz swoje szczęśliwe liczby, unikaj liczb z tej samej grupy. Ostatnia cyfra szczęśliwych liczb powinna być różna. Wybieraj różne parzyste i nieparzyste kombinacje liczb.
Zwróć uwagę na stosunek dużych i małych liczb. Wybieraj różne liczby. Miej strategię. Aby wygrać, musisz trzymać się jednej lub kilku strategii.
Unikaj losowych biletów, one nigdzie cię nie zaprowadzą. Kupowanie tzw. bim-bam (quick-pick – ang.) biletu nie jest strategią. To tylko losowe liczby na twoim bilecie loteryjnym.
Co to są bilety syndykatu loterii?
Zaangażuj przyjaciół w grę loteryjną. Zbierz pieniądze i graj większą ilością biletów. Wygrana nagroda będzie musiała być podzielona, ale i szanse na wygraną będą większe. Nie bój się tego, naprawdę warto kupić więcej biletów na jeden losowanie. Takie bilety nazywane są biletami syndykatu.
Organizatorzy loterii, zmieniając mody graczy loterii, zaczęli sami oferować usługę biletów syndykatu. Teraz możesz kupić 10 losowych biletów za cenę dwóch biletów, ale musisz zrozumieć, że wygrana będzie podzielona między wszystkich uczestników.
Grupa graczy decyduje się wziąć udział w tym samym losowaniu, z tymi samymi biletami i tą samą liczbą. Oczywiście, taki sposób kupowania i grania w loterię jest przeznaczony dla tych, którzy chcą grać dużą ilością biletów loteryjnych, płacąc niższą cenę.
Viking lotto bilety syndykatu
Jak grać w bilety syndykatu loterii Viking lotto? Grupa syndykatu składa się z pięciu osób, które zdecydowały się dołączyć do zakupu biletów syndykatu.

Każdy gracz może kupić dziesięć lub pięćdziesiąt części biletu, których wartość wynosi 0,3 euro, przeznaczonych na jedno losowanie. Pozostałych czterech graczy, którzy zdecydowali się wziąć udział w zakupie biletów syndykatu, kupuje te same części biletów za tę samą cenę.
W przypadku wygranej członkowie syndykatu dzielą wygraną równo. Niestety, nie będziesz mógł wybrać swoich szczęśliwych liczb i kupisz liczby wybrane losowo przez komputer.
Historia loterii
Pierwsze wzmianki o loteriach pojawiły się jeszcze w starożytnych legendach, a nawet w Biblii. W Europie loterie są wspominane od XV wieku. Ich wygrane i cele różnią się od współczesnych loterii, ale zasada była taka sama – loteria. Bilety i gracze.
Największy skok popularności współczesnej loterii nastąpił zaraz po II wojnie światowej. Zaraz po wojnie w Europie odczuwano ożywienie gospodarcze, co pomogło loteriom rozwijać się i rosnąć. W Europie loterie rozwijały się i rosły tak szybko, że do 1980 roku dogoniły poziom loterii amerykańskich. Dzięki takim loteriom jak KENO, BINGO, loterie natychmiastowe oraz oczywiście loterie losowe, popularność stała się wszechogarniająca.
Największy boom osiągnięto wraz z pojawieniem się popularnych loterii takich jak Eurojackpot, Viking lotto, El Gordo, EuroMillions, SuperEnalotto, Germany Lotto, Ireland Lotto, France Loto, Belgium Lotto.
Szczególną uwagę należy zwrócić na loterię Euro Millions. Pod względem wielkości nagród i liczby graczy jest ona niekwestionowanym liderem wśród europejskich loterii, ustępując jedynie swojemu czasowi istnienia.
Stało się tak, ponieważ loteria powstała dopiero po wprowadzeniu nowej waluty – euro. Chociaż sam projekt został stworzony w 1994 roku, to dopiero w 2004 roku odbyło się jej pierwsze losowanie. W 2011 roku loteria została zaktualizowana i teraz mamy największą loterię w Europie, której główna nagroda – 184 miliony euro – została po raz pierwszy wygrana w tym samym 2011 roku.

Loteria ewoluuje nieustannie. Obecnie możesz grać w różne loterie. Bilety na wszystkie największe loterie możesz teraz kupić online. Nawet najpopularniejsze loterie natychmiastowe są teraz dostępne w internecie.
Loteria online
Wraz z pojawieniem się internetu, jego technologii oraz nowoczesnej sieci telekomunikacyjnej i urządzeń inteligentnych, loterie można kupować zdalnie. Odległość i czas nie mają już znaczenia. To nowy nurt biznesu loterii online.
Nie musisz się nigdzie ruszać. Cały świat jest tutaj i teraz u twoich stóp.
Jums nereikia wyjeżdżać do Monachium, aby kupić samochód BMW ani lecieć do Rzymu, aby napić się prawdziwej kawy espresso. A co zrobić tym, którzy chcą grać w takie mega loterie jak Power Ball, Mega Millions, El Gordo, EuroJackpot, EuroMillions.
Wszystkie te loterie są dostępne online. Organizatorzy loterii i dostawcy usług loteryjnych umożliwiają grę w loterię przez internet. Gdziekolwiek i kiedykolwiek już od 1990 roku.
Natychmiastowa loteria online staje się coraz bardziej popularna. Ich różnorodność stale rośnie. Natychmiastowa loteria jest prosta, więc gra online jest łatwa i przyjemna. Ich różnorodność w najbliższych dekadach powinna dorównać różnorodności automatów do gier.
Kupując natychmiastową loterię na żywo, musisz zrozumieć, że jest to najprostszy typ loterii. O wygranej dowiesz się, zdrapując ukryte miejsca. Niektóre natychmiastowe loterie mają inny mechanizm. Wystarczy oderwać część biletu i wtedy dowiesz się, czy wygrałeś. Małe wygrane można odebrać w miejscu zakupu biletu, duży Jackpot – trzeba skontaktować się bezpośrednio z organizatorami.

Największe loterie
Loteria Powerball
To jest największa loteria, która została założona w Stanach Zjednoczonych. Od 2009 roku Megamillion i Powerball zawarły porozumienie, po którym bilety tych loterii można kupić w prawie wszystkich stanach.
Jak grać w Powerball?
Ponieważ te loterie są sprzedawane tylko w USA, a chce w nie grać cały świat, pojawiły się tzw. konsjerże loteryjni (lottery concierge – ang.). W zasadzie kupujesz usługę – zakup biletu loteryjnego. Dostawca usługi kupuje bilety, skanuje je i wysyła do Ciebie. Jest to prawnie legalne i wiarygodne. Graj i ciesz się.

Jak każda loteria, gra jest łatwa i interesująca. Niemniej jednak trzeba znać warunki i zasady gry, niezależnie od tego, jak proste by one nie były, przeczytaj je poniżej:
Aby legalnie grać, musisz być pełnoletni. W przeciwnym razie, nawet jeśli wygrasz loterię Powerball, nie będziesz mógł odebrać nagrody. Co więcej, w niektórych stanach, takich jak Nebraska, musisz mieć co najmniej dziewiętnaście lat. W Arizonie i Luizjanie bilety można kupować i grać w loterie dopiero od 21 lat. Dobrze, że te loterie można kupić online. Jeśli masz już 18 lat i mieszkasz poza USA, to jest najlepszy sposób na zakup biletów.
Wygrane można odebrać tylko w stanie, w którym bilet został zakupiony. Jeśli kiedykolwiek, na przykład, będziesz w Las Vegas i tam kupisz bilet, a po powrocie do domu dowiesz się, że wygrałeś, będziesz musiał wrócić do Nevady, aby odebrać wygraną. Jeśli kupisz online, wygraną będziesz musiał odebrać tam, gdzie bilet został zakupiony. To znaczy w stanie, w którym bilet został zakupiony.
Każda duża wygrana jest opodatkowana. Na przykład, wygrywając Jackpot lub główną nagrodę, federalny stan, w którym bilet został zakupiony, pobiera co najmniej 25% podatku od nagrody.
Bardzo ważne. Wiedz, że po wygranej, termin, w którym musisz przedstawić zwycięski bilet i złożyć wniosek o wypłatę wygranej, jest określony. Każdy stan ma swój ustalony termin. Bilet zakupiony w stanie Missouri jest ważny przez 180 dni. Po zakupie biletu koniecznie przeczytaj wszystkie zasady i warunki dotyczące terminu odbioru wygranej w stanie, w którym bilet został zakupiony.
Jakie są szanse na wygraną w Powerball?
Szansa na wygraną w loterii jest dość duża – jedna na 24,9. Oczywiście, jest to ogólna statystyka wygranych. Wygranie Powerball Jackpot nie jest takie proste. Szanse na wygraną głównej nagrody są naprawdę małe, wynoszą tylko 1 na 292 201 338. Niemniej jednak główne nagrody są wygrywane i historia już to pokazała.
Początkowa główna nagroda Jackpot zaczyna się od 40 milionów dolarów. Jeśli w dniu gry Jackpot nie zostanie wygrany, w następnym losowaniu nagroda Jackpot rośnie. Nagroda rośnie, dopóki ktoś jej nie wygra.
Znając, że szanse na wygraną są naprawdę małe i wygrane zdarzają się dość rzadko, wygrane rosną naprawdę duże. Największe z nich sięgają ponad pół miliarda. Wszystkie inne nagrody loterii są stałe i niezmienne.
Powerball loteria ma dodatkowy mnożnik loterii, który można kupić za $1 za każdą grę.
Mity o Powerball
Wielu nie wierzy, że można wygrać główną nagrodę Jackpot, ponieważ są one tak duże, że trudno im uwierzyć, że to prawda. Wątpliwości budzi również fakt, że liczba graczy jest naprawdę duża. Spróbujmy rozwiać główne wątpliwości.

1. Gracze otrzymują mniej niż wygrana nagroda.
Wielu uważa, że po wygraniu głównej nagrody nie można wypłacić całej nagrody od razu, ale to nieprawda. Organizator loterii na pewno nie ryzykowałby swojej reputacji. Cała wygrana może być przelana w 30 przelewach, przez 29 lat. Jednak musisz zrozumieć, że podatki będą naliczane przy każdym przelewie, ale kwota wygranej przed opodatkowaniem się nie zmienia. Jeśli główną nagrodę Jackpot wygra kilku graczy, nagroda jest dzielona po równo.
2. Lepiej od razu odebrać nagrodę niż w ratach.
To jest twój wybór, jak odebrać wygraną nagrodę: czy to będzie cała kwota od razu, czy w ratach. Jeśli jesteś pewien, że potrafisz oprzeć się niepotrzebnym drogim zakupom, możesz od razu odebrać całą swoją wygraną. Jednak jeśli chcesz mieć stały dochód przez 29 lat, zabezpieczyć się przed niepotrzebnymi trudnościami finansowymi, powinieneś wypłacać pieniądze w ratach. Co zrobić z wygraną – to twoja sprawa. Niektórzy inwestują pieniądze i w ten sposób zwiększają swój kapitał. Starsi ludzie chcą odebrać wszystkie pieniądze, cieszyć się życiem i po śmierci zostawić pieniądze swoim dzieciom i krewnym. Warto wiedzieć, że nawet odbierając nagrodę w ratach, nagrodę można przekazać w spadku.
3. Łatwiej wygrać, gdy Jackpot jest mniejszy.
W rzeczywistości nie ma znaczenia, jakiej wielkości jest nagroda. Prawdopodobieństwo wygranej pozostaje takie samo. Jedna na 292 201 338. Przecież obracające się kulki w bębnie nie wiedzą, jaka nagroda jest w danym momencie grana.
4. W loterii mogą grać tylko obywatele USA.
To kolejna nieprawda. Powerball loteria nie ma ograniczeń co do kraju pochodzenia. Co więcej, nie musisz być w USA, aby móc grać. Możesz grać w loterię online z dowolnego miejsca na świecie. Jak już pisaliśmy wcześniej, odbiór dużych nagród jest możliwy tylko po przyjeździe na miejsce.
5. Po wygranej nie można zachować anonimowości.
Ostatni mit, który chcemy obalić. Mamy nadzieję, że po obaleniu tego mitu podejmiesz właściwą decyzję. Tak więc. Jest w tym trochę prawdy. Jeśli gracz wygrał główną nagrodę, w siedmiu stanach można zachować anonimowość. Jest to robione dla twojego własnego bezpieczeństwa, aby uniknąć napadów lub innych nieszczęść. Stany, w których można całkowicie zachować anonimowość: Maryland, Kansas, Ohio, Puerto Rico, Delaware, Dakota Południowa, Karolina Północna.
Mega Millions loteria
Swoją obecną nazwę Megamillions loteria otrzymała od 2002 roku. Do tego czasu ta loteria była znana jako Biggame i działała od 1996 roku. Najmniejszy główny Jackpot, od którego zaczyna się gra, wynosi 40 milionów dolarów.

Ponieważ główny Jackpot nie jest wygrywany za każdym razem, jego fundusz nagród jest przenoszony do następnej loterii Jackpot. Zwiększa się o co najmniej 5 milionów. W ten sposób rosnąca nagroda osiąga setki milionów dolarów. Właśnie ze względu na duże nagrody Jackpot ta loteria przyciąga dużą liczbę graczy.
Jak grać w loterię Mega Millions?
Podczas gry używane są dwa bębny z kulkami. W jednym z nich obraca się 70 kul do gry, z których losowane jest 5 szczęśliwych. W drugim bębnie znajduje się 25 kulek, z których losowana jest 1 kulka. W wielu stanach gra się w dodatkową grę Megaplier, podczas której losowana jest dodatkowa kulka. Można wtedy wygrać dodatkową nagrodę.
Loteria El Gordo
To tradycyjna świąteczna loteria, w którą Hiszpanie grają od ponad 200 lat. Nazwa El Gordo w tłumaczeniu z języka hiszpańskiego oznacza „gruby”, co odnosi się do głównej wygranej – potężnego Jackpota, rozgrywanego tuż przed świętami Bożego Narodzenia.

Loteria ta ma wyjątkowe miejsce w hiszpańskiej kulturze – całe miasteczka i wioski biorą w niej udział. Ze względu na wysoką cenę biletu (aż 200 euro), często kupuje się go wspólnie – w gronie rodziny, przyjaciół lub współpracowników.
Popularność El Gordo jest tak ogromna, że całe społeczności inwestują duże sumy w pełne bilety, traktując to jako wspólne wydarzenie i rytuał.
Zasady gry El Gordo
Loteria El Gordo znacząco różni się od typowych loterii znanych w Polsce. Całkowita pula nagród wynosi aż 2,2 miliarda euro – to jedna z największych na świecie. Co więcej, aż 70% dochodów z biletów trafia do puli nagród, co stanowi unikalny atut tej loterii.
El Gordo odbywa się raz w roku – zawsze w grudniu. Choć pełny bilet kosztuje około 200 euro, istnieje możliwość zakupu jego jednej dziesiątej części, tzw. „decimo”. Jeśli posiadasz „decimo” i Twój numer okaże się zwycięski, otrzymujesz jedną dziesiątą wartości wygranej.
Losowanie El Gordo to niemalże spektakl – trwa około 5 godzin i przebiega zupełnie inaczej niż w typowych grach losowych. Każdy bilet zawiera kombinację pięciu cyfr – od 00000 do 99999. Aby zwiększyć liczbę możliwych do sprzedania biletów, są one podzielone na serie oznaczone trzema cyframi (XXX). Liczba serii różni się każdego roku – przykładowo w 2013 roku było ich 160, a w 2015 – już 180.
Nagrody w loterii El Gordo
W czasie losowania wykorzystywane są dwa rodzaje bębnów – jeden zawiera numery, a drugi przypisane do nich nagrody. Po wylosowaniu zwycięskiego numeru losowany jest od razu przypisany do niego prize.
Ciekawostką jest fakt, że każdy numer biletu może występować nawet 195 razy, w ramach różnych serii. To oznacza, że więcej niż jedna osoba może wygrać tę samą nagrodę – i właśnie w tym tkwi magia El Gordo. W przeciwieństwie do innych loterii, nagrody nie są dzielone – jest ich tyle, ile osób trafiło zwycięski numer.
EuroJackpot – popularna loteria europejska
Jedna z najchętniej wybieranych loterii w Europie, której powstanie powiązane jest z utworzeniem Unii Europejskiej. Wyniki EuroJackpot zaskakują wysoką skutecznością, a jej popularność w krajach bałtyckich jest niezaprzeczalna.
Podobnie jak w przypadku wielu loterii typu Jackpot, jeśli nikt nie trafi głównej wygranej, pula nagród przechodzi na kolejny losowanie. Choć takich kumulacji może być wiele, maksymalna wartość nagrody głównej nie może przekroczyć 90 milionów euro.

Loteria odbywa się w każdy piątek, a cena jednego losu to 2 euro. Tygodniowa częstotliwość losowań oraz niska cena biletu to prawdopodobnie główne powody ogromnej popularności EuroJackpot. Co więcej, można grać również przez internet.
Wyniki EuroJackpot ogłaszane są dzień po losowaniu, a sprawdzanie losów online jest bardzo wygodne i szybkie.
Jakie są szanse na wygraną w loterii EuroJackpot?
Obliczono, że ogólne prawdopodobieństwo jakiejkolwiek wygranej w tej loterii wynosi 1 na 42, natomiast szansa trafienia Jackpota to 1 na 95 344 200.
Mówiąc o różnorodności nagród i szansach na wygraną, EuroJackpot to wyjątkowa loteria, która daje realną możliwość stania się niewiarygodnie bogatym i spełnienia marzeń!
Co najlepsze – nie trzeba nawet wychodzić z domu, żeby rozpocząć tę przygodę. Loterie online są dostępne z poziomu komputera lub telefonu, bez konieczności stania w kolejkach czy czekania na ogłoszenie wyników. Kup los i sprawdź go po losowaniu, logując się na swoje konto.
EuroMillions – kolejna europejska loteria
Kolejna bardzo popularna europejska loteria – EuroMillions – odbywa się dwa razy w tygodniu, we wtorki i piątki. Choć organizowana jest w Europie, gracze z całego świata chętnie biorą w niej udział.
W grze bierze udział 50 głównych kul z numerami, z których losuje się 5 zwycięskich liczb oraz 12 dodatkowych kul, z których losuje się 2 dodatkowe liczby. Jeśli trafisz wszystkie 5 głównych i 2 dodatkowe liczby, wygrywasz Jackpota.

Nie przejmuj się jednak, jeśli nie trafisz wszystkich – EuroMillions oferuje także inne nagrody. Już trafienie 2 z 50 głównych liczb zapewnia wygraną.
Wysokość nagród zależy od łącznej puli nagród. Prawdopodobieństwo trafienia głównej nagrody wynosi 1 na 139 838 160. Możesz kupić los EuroMillions przez internet i grać z dowolnego miejsca na świecie.
E-loterie – rodzaje
Loterie online mogą być również nazywane e-loteriami. Ten rodzaj loterii sprawia, że proces jest szczególnie łatwy dla fanów loterii. Gracze mogą kupować losy na największe loterie bez względu na to, gdzie się znajdują i w jakim kraju mieszkają. Wszystko czego potrzebują to internet.
Warto jednak pamiętać, że przed zakupem losów na największe loterie online często konieczne jest potwierdzenie swojej tożsamości i pełnoletniości. Istnieje kilka różnych rodzajów e-loterii:
Lotto – lotto to jeden z najpopularniejszych rodzajów loterii. Zazwyczaj musisz wybrać sześć różnych liczb, a Twoje wygrane będą zależeć od tego, ile z nich uda Ci się odgadnąć. Odgadnięcie wszystkich 6 liczb może przynieść miliony dolarów.
Loterie krajowe lub międzystanowe (np. gra EuroJackpot) – te loterie są zazwyczaj organizowane co tydzień lub co miesiąc. Tego typu loterie mają największe pule nagród, ale szanse na wygranie głównej nagrody są niezwykle niskie. Zwycięskie liczby w tych loteriach są zazwyczaj ogłaszane dzień po losowaniu;
Loteria natychmiastowa – ten rodzaj loterii jest szczególnie popularny w Internecie. Najbardziej rozpoznawalnym rodzajem loterii błyskawicznej są zdrapki. Wystarczy kupić bilet, a po jego zdrapaniu od razu wiadomo, czy się udało, czy nie. Zdrapki są dostępne w większości nowoczesnych kasyn online, takich jak Unibet, 1xBet lub PartyCasino.
Zakłady na loterie – jest to mało znana, ale bardzo ekscytująca dla wielu osób możliwość wzięcia udziału w loterii. Wiele portali bukmacherskich oferuje zakłady na wyniki głównych loterii. Na przykład: czy w loterii VikingLotto wypadnie kula nr 2? Kurs na zakład TAK wynosi zazwyczaj 7,00, a na zakład NIE 1,06. Kursy i oferty zakładów mogą się zmieniać w zależności od loterii.
Jeśli wygrasz w loterii, zazwyczaj możesz wypłacić pieniądze bezpośrednio na swoje konto bankowe. Jeśli jednak wygrasz większe nagrody, być może będziesz musiał odwiedzić biuro loterii, aby potwierdzić swoją tożsamość.
Loteria online – czy gra jest bezpieczna?
Przed rozpoczęciem gry w loterie online należy pamiętać, że jest to gra losowa. Wygrane nigdy nie są gwarantowane, a szanse na wygranie dużych nagród są niezwykle niskie, ale niektórzy ludzie mają szczęście.
Ale oprócz ryzykowania pieniędzy, visa wszystko inne jest bezpieczne. Wybierając zaufaną i renomowaną loterię, możesz być pewien bezpieczeństwa swoich danych i tego, że otrzymasz wypłatę, jeśli wygrasz.
Większość loterii odbywa się na żywo i działa zgodnie z prawem stanowym, więc nie powinno być żadnych oszustw. To tak jak kupowanie losu w supermarkecie, tylko tym razem robisz to online.
Kiedy kupujesz los, koniecznie sprawdź, czy będziesz mógł wziąć udział w loterii. Większość loterii akceptuje graczy z innych krajów, o ile kupujesz los w kraju, w którym odbywa się loteria. Niektóre loterie mogą jednak wymagać dowodu obywatelstwa.
Tak więc, gra na loterii online jest bezpieczna, ale jak we wszystkim, mogą istnieć niebezpieczeństwa w tym obszarze. Dlatego przed rozpoczęciem gry zawsze upewnij się, że loteria jest renomowana i wiarygodna oraz że została sprawdzona przez innych użytkowników.